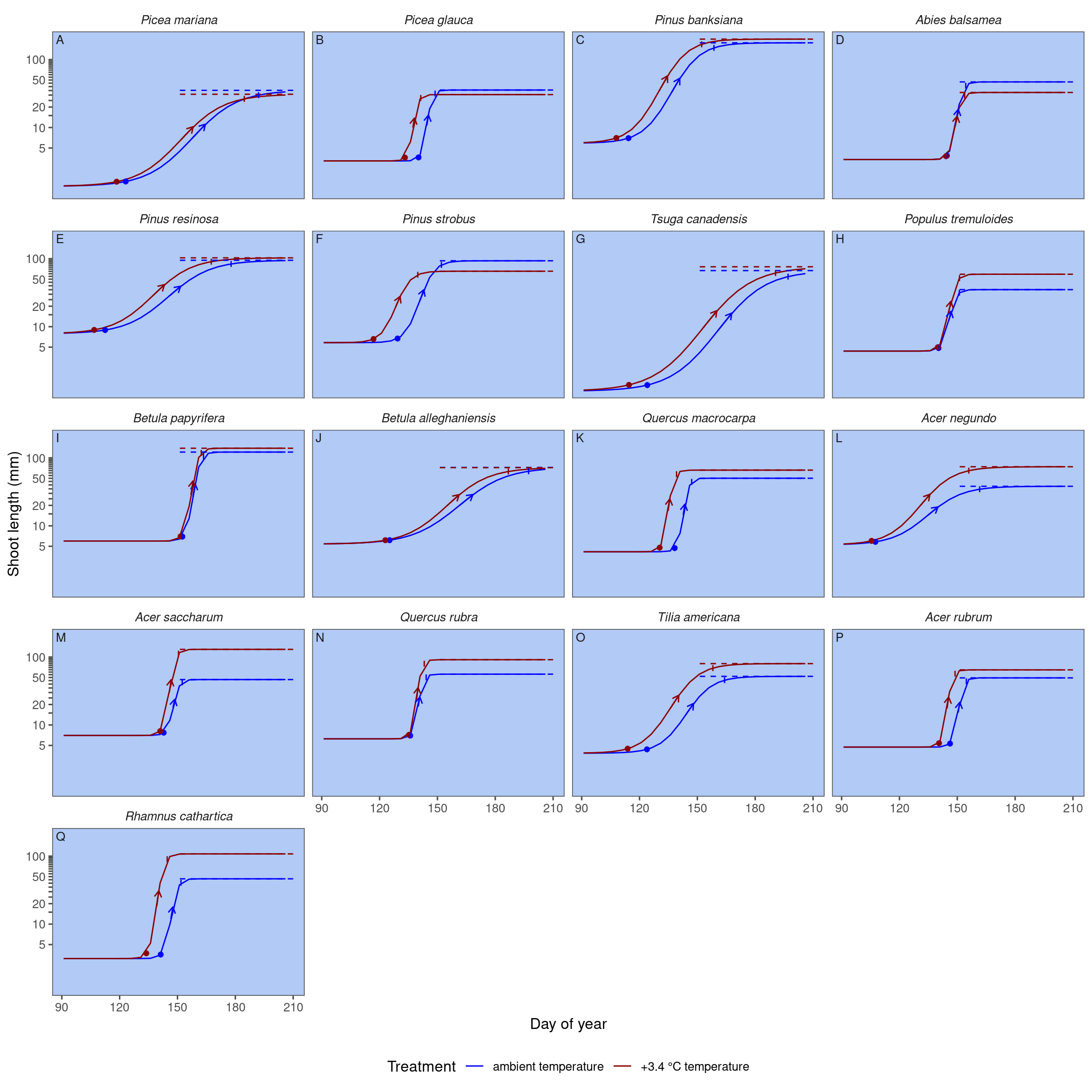
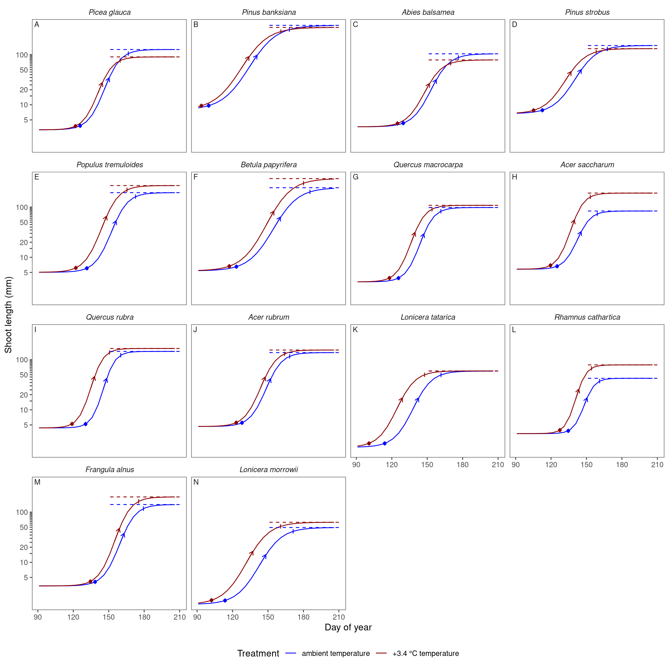
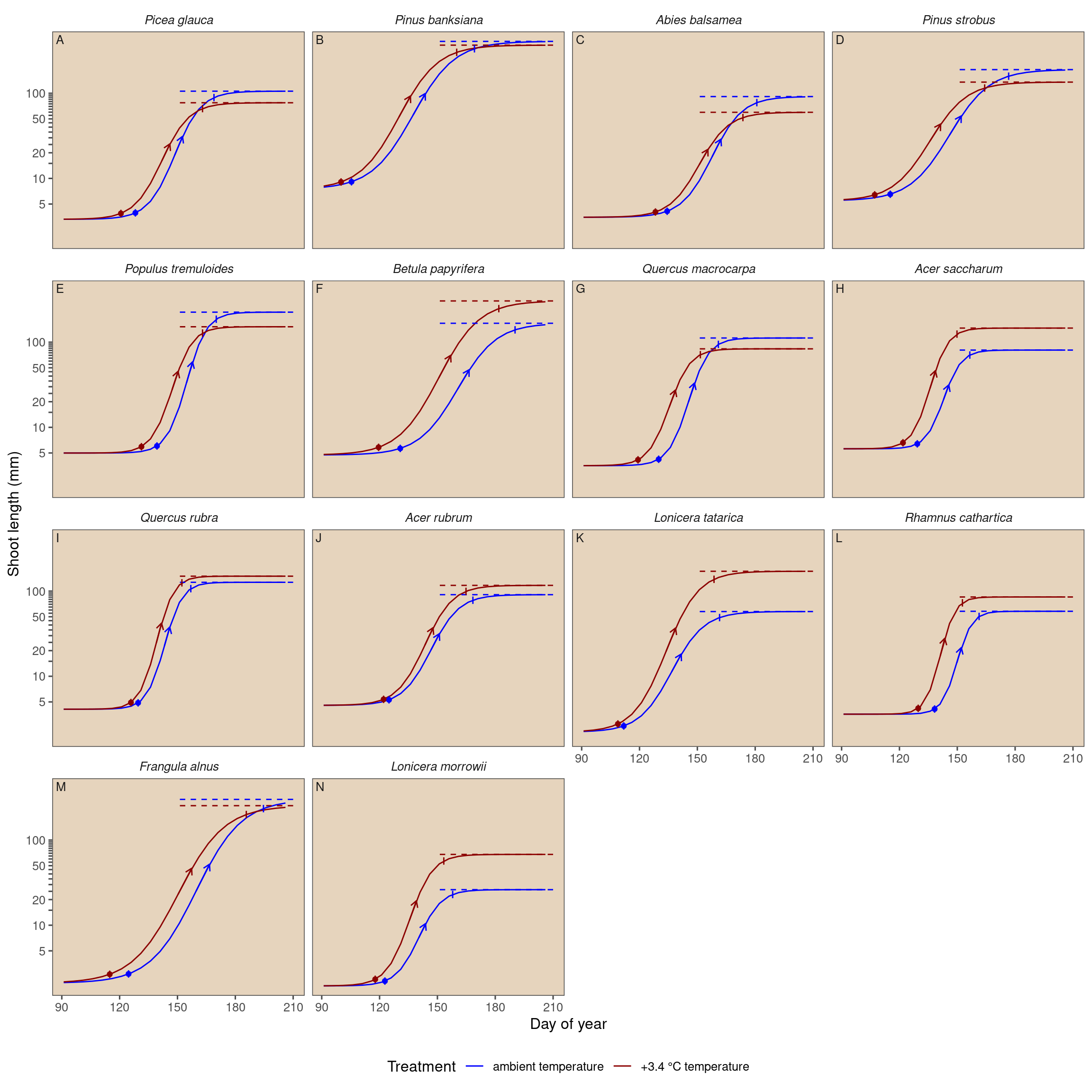
Experimental design
## [1] "Total shoot observations: 57308"
## [1] "Total years: 10"
## [1] "Total shoot trajectories: 5842"
Treatments


warming treatment | watering treatment | canopy | difference in | difference in |
|---|---|---|---|---|
ambient | ambient | closed | 0.00253 ± 0.176 | 0.000182 ± 0.0224 |
+1.7 °C | ambient | closed | 1.63 ± 0.434 | -0.000848 ± 0.0258 |
+3.4 °C | ambient | closed | 3.47 ± 0.153 | -0.0223 ± 0.0217 |
ambient | ambient | open | -0.0216 ± 0.113 | 0.000838 ± 0.0193 |
+1.7 °C | ambient | open | 1.64 ± 0.179 | -0.0260 ± 0.0180 |
+3.4 °C | ambient | open | 3.23 ± 0.176 | -0.0445 ± 0.0189 |
ambient | reduced | open | -0.0227 ± 0.142 | 0.000861 ± 0.0144 |
+1.7 °C | reduced | open | 1.61 ± 0.199 | -0.0194 ± 0.0150 |
+3.4 °C | reduced | open | 3.22 ± 0.196 | -0.0463 ± 0.0301 |
Model results
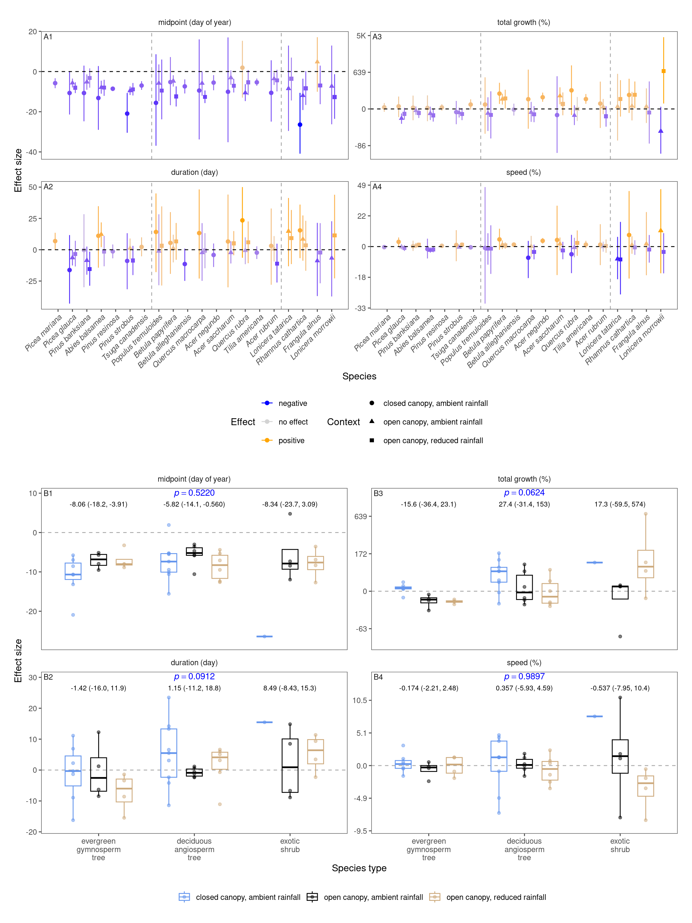
Conceptual

Modeled effects



(A) start | |||
|---|---|---|---|
species | closed canopy, | open canopy, | open canopy, |
Picea mariana | -4.75 | ||
Picea glauca | -6.95 | -3.93 | -7.42 |
Pinus banksiana | -6.31 | -6.17 | -5.35 |
Abies balsamea | -0.430 | -4.83 | -6.05 |
Pinus resinosa | -5.63 | ||
Pinus strobus | -12.3 | -7.39 | -8.02 |
Tsuga canadensis | -9.43 | ||
Populus tremuloides | -0.449 | -9.25 | -7.90 |
Betula papyrifera | -0.895 | -5.98 | -11.1 |
Betula alleghaniensis | -1.94 | ||
Quercus macrocarpa | -7.81 | -7.62 | -10.6 |
Acer negundo | -1.88 | ||
Acer saccharum | -1.91 | -5.57 | -7.39 |
Quercus rubra | -0.711 | -11.3 | -3.62 |
Tilia americana | -9.97 | ||
Acer rubrum | -5.62 | -4.87 | -2.79 |
Lonicera tatarica | -13.2 | -2.99 | |
Rhamnus cathartica | -7.42 | -6.98 | -8.47 |
Frangula alnus | -3.82 | -9.63 | |
Lonicera morrowii | -11.1 | -4.82 | |
(B) total growth | |||
|---|---|---|---|
species | closed canopy, | open canopy, | open canopy, |
Picea mariana | -12.5 | ||
Picea glauca | -14.4 | -28.7 | -26.9 |
Pinus banksiana | 13.4 | -9.01 | -9.68 |
Abies balsamea | -30.0 | -24.5 | -34.6 |
Pinus resinosa | 8.60 | ||
Pinus strobus | -29.7 | -13.5 | -28.6 |
Tsuga canadensis | 13.8 | ||
Populus tremuloides | 68.6 | 38.5 | -32.6 |
Betula papyrifera | 13.9 | 52.2 | 82.8 |
Betula alleghaniensis | -0.810 | ||
Quercus macrocarpa | 31.6 | 10.6 | -25.4 |
Acer negundo | 93.8 | ||
Acer saccharum | 178 | 128 | 81.3 |
Quercus rubra | 63.1 | 14.4 | 18.0 |
Tilia americana | 54.0 | ||
Acer rubrum | 31.2 | 12.7 | 28.7 |
Lonicera tatarica | 0.526 | 197 | |
Rhamnus cathartica | 133 | 85.0 | 47.3 |
Frangula alnus | 41.9 | -15.6 | |
Lonicera morrowii | 27.2 | 159 | |
(C) duration | |||
|---|---|---|---|
species | closed canopy, | open canopy, | open canopy, |
Picea mariana | -2.69 | ||
Picea glauca | -0.386 | -3.05 | 1.52 |
Pinus banksiana | -0.0766 | -0.986 | -3.75 |
Abies balsamea | -0.114 | -1.56 | -1.10 |
Pinus resinosa | -4.74 | ||
Pinus strobus | 0.206 | -1.99 | -4.39 |
Tsuga canadensis | 2.92 | ||
Populus tremuloides | 0.443 | 1.82 | 0.867 |
Betula papyrifera | -0.232 | 0.595 | 2.71 |
Betula alleghaniensis | -8.70 | ||
Quercus macrocarpa | -0.0841 | 0.121 | 1.34 |
Acer negundo | -3.74 | ||
Acer saccharum | -0.139 | -0.282 | 0.735 |
Quercus rubra | -0.348 | 1.87 | -0.881 |
Tilia americana | 3.77 | ||
Acer rubrum | -0.138 | 0.584 | -0.771 |
Lonicera tatarica | -0.550 | 0.124 | |
Rhamnus cathartica | 0.302 | 0.174 | -0.0999 |
Frangula alnus | -0.0892 | 0.739 | |
Lonicera morrowii | 0.676 | 0.335 | |
(D) speed | |||
|---|---|---|---|
species | closed canopy, | open canopy, | open canopy, |
Picea mariana | -0.00344 | ||
Picea glauca | -0.483 | -0.212 | -1.57 |
Pinus banksiana | 0.459 | -0.0777 | 0.334 |
Abies balsamea | -4.11 | -0.505 | -1.03 |
Pinus resinosa | 0.598 | ||
Pinus strobus | -2.20 | -0.0560 | -0.189 |
Tsuga canadensis | -0.0640 | ||
Populus tremuloides | 5.05 | 0.501 | -2.17 |
Betula papyrifera | 2.48 | 0.890 | 1.11 |
Betula alleghaniensis | 0.647 | ||
Quercus macrocarpa | 4.53 | 0.363 | -1.99 |
Acer negundo | 2.21 | ||
Acer saccharum | 15.5 | 3.68 | 2.79 |
Quercus rubra | 9.86 | -0.387 | 1.55 |
Tilia americana | 0.658 | ||
Acer rubrum | 5.10 | 0.246 | 1.08 |
Lonicera tatarica | 0.186 | 3.00 | |
Rhamnus cathartica | 10.5 | 3.11 | 2.41 |
Frangula alnus | 1.15 | -0.390 | |
Lonicera morrowii | 0.538 | 3.55 | |
(A) start | |
|---|---|
term | estimate |
intercept | -5.58 ± 1.59 (0.0012) |
deciduous angiosperm tree | -1.86 ± 2.05 (0.3708) |
exotic shrub | -3.19 ± 2.25 (0.1646) |
closed canopy | -0.971 ± 1.99 (0.6289) |
reduced rainfall | -1.13 ± 2.25 (0.6175) |
deciduous angiosperm tree:closed canopy | 4.94 ± 2.60 (0.0655) |
exotic shrub:closed canopy | 2.32 ± 4.07 (0.5731) |
deciduous angiosperm tree:reduced rainfall | 1.33 ± 2.90 (0.6496) |
exotic shrub:reduced rainfall | 3.42 ± 3.18 (0.2888) |
(B) total growth | |
|---|---|
term | estimate |
intercept | -0.215 ± 0.158 (0.1827) |
deciduous angiosperm tree | 0.535 ± 0.204 (0.0127) |
exotic shrub | 0.517 ± 0.223 (0.0264) |
closed canopy | 0.120 ± 0.198 (0.5480) |
reduced rainfall | -0.0796 ± 0.223 (0.7236) |
deciduous angiosperm tree:closed canopy | -0.0189 ± 0.259 (0.9423) |
exotic shrub:closed canopy | 0.421 ± 0.405 (0.3054) |
deciduous angiosperm tree:reduced rainfall | -0.0862 ± 0.288 (0.7669) |
exotic shrub:reduced rainfall | 0.342 ± 0.316 (0.2865) |
(C) duration | |
|---|---|
term | estimate |
intercept | -1.89 ± 1.08 (0.0884) |
deciduous angiosperm tree | 2.68 ± 1.40 (0.0629) |
exotic shrub | 1.95 ± 1.53 (0.2112) |
closed canopy | 1.20 ± 1.36 (0.3826) |
reduced rainfall | -0.0361 ± 1.53 (0.9813) |
deciduous angiosperm tree:closed canopy | -3.00 ± 1.77 (0.0987) |
exotic shrub:closed canopy | -0.949 ± 2.77 (0.7342) |
deciduous angiosperm tree:reduced rainfall | -0.0828 ± 1.98 (0.9668) |
exotic shrub:reduced rainfall | 0.258 ± 2.16 (0.9059) |
(D) speed | |
|---|---|
term | estimate |
intercept | -0.00213 ± 0.0125 (0.8656) |
deciduous angiosperm tree | 0.0108 ± 0.0161 (0.5062) |
exotic shrub | 0.0145 ± 0.0177 (0.4190) |
closed canopy | -0.00632 ± 0.0157 (0.6891) |
reduced rainfall | -0.00404 ± 0.0177 (0.8207) |
deciduous angiosperm tree:closed canopy | 0.0466 ± 0.0205 (0.0290) |
exotic shrub:closed canopy | 0.0941 ± 0.0320 (0.0058) |
deciduous angiosperm tree:reduced rainfall | -0.000903 ± 0.0228 (0.9687) |
exotic shrub:reduced rainfall | 0.0128 ± 0.0250 (0.6118) |
Baseline in ambient plots

(A) start | |||
|---|---|---|---|
species | closed canopy, | open canopy, | open canopy, |
Picea mariana | 123 | ||
Picea glauca | 140 | 126 | 128 |
Pinus banksiana | 114 | 99.8 | 105 |
Abies balsamea | 145 | 130 | 134 |
Pinus resinosa | 112 | ||
Pinus strobus | 129 | 113 | 115 |
Tsuga canadensis | 124 | ||
Populus tremuloides | 140 | 131 | 139 |
Betula papyrifera | 152 | 123 | 131 |
Betula alleghaniensis | 125 | ||
Quercus macrocarpa | 138 | 126 | 130 |
Acer negundo | 107 | ||
Acer saccharum | 142 | 125 | 129 |
Quercus rubra | 136 | 130 | 129 |
Tilia americana | 124 | ||
Acer rubrum | 146 | 128 | 125 |
Lonicera tatarica | 114 | 112 | |
Rhamnus cathartica | 141 | 134 | 138 |
Frangula alnus | 138 | 125 | |
Lonicera morrowii | 113 | 123 | |
(B) total growth | |||
|---|---|---|---|
species | closed canopy, | open canopy, | open canopy, |
Picea mariana | 35.3 | ||
Picea glauca | 35.4 | 126 | 106 |
Pinus banksiana | 175 | 382 | 406 |
Abies balsamea | 46.7 | 104 | 91.3 |
Pinus resinosa | 94.7 | ||
Pinus strobus | 92.8 | 152 | 189 |
Tsuga canadensis | 66.9 | ||
Populus tremuloides | 34.9 | 194 | 224 |
Betula papyrifera | 121 | 242 | 167 |
Betula alleghaniensis | 72.3 | ||
Quercus macrocarpa | 50.0 | 98.0 | 112 |
Acer negundo | 38.1 | ||
Acer saccharum | 46.5 | 83.6 | 80.7 |
Quercus rubra | 55.8 | 145 | 127 |
Tilia americana | 51.8 | ||
Acer rubrum | 49.3 | 138 | 90.7 |
Lonicera tatarica | 59.2 | 57.4 | |
Rhamnus cathartica | 46.5 | 41.9 | 57.7 |
Frangula alnus | 142 | 294 | |
Lonicera morrowii | 49.2 | 25.7 | |
(C) duration | |||
|---|---|---|---|
species | closed canopy, | open canopy, | open canopy, |
Picea mariana | 68.9 | ||
Picea glauca | 8.57 | 40.8 | 40.8 |
Pinus banksiana | 44.3 | 68.3 | 63.8 |
Abies balsamea | 9.79 | 46.6 | 46.5 |
Pinus resinosa | 65.3 | ||
Pinus strobus | 22.7 | 55.0 | 61.4 |
Tsuga canadensis | 73.0 | ||
Populus tremuloides | 10.8 | 41.3 | 30.7 |
Betula papyrifera | 11.0 | 62.3 | 59.6 |
Betula alleghaniensis | 72.1 | ||
Quercus macrocarpa | 8.81 | 35.9 | 31.0 |
Acer negundo | 54.1 | ||
Acer saccharum | 9.61 | 34.0 | 27.2 |
Quercus rubra | 8.27 | 29.7 | 27.3 |
Tilia americana | 40.3 | ||
Acer rubrum | 8.46 | 40.3 | 43.5 |
Lonicera tatarica | 47.7 | 49.7 | |
Rhamnus cathartica | 10.5 | 26.5 | 23.1 |
Frangula alnus | 40.9 | 70.0 | |
Lonicera morrowii | 57.6 | 35.1 | |
(D) speed | |||
|---|---|---|---|
species | closed canopy, | open canopy, | open canopy, |
Picea mariana | 1.07 | ||
Picea glauca | 1.50 | 1.14 | 1.13 |
Pinus banksiana | 1.12 | 1.09 | 1.10 |
Abies balsamea | 1.48 | 1.11 | 1.11 |
Pinus resinosa | 1.06 | ||
Pinus strobus | 1.20 | 1.09 | 1.09 |
Tsuga canadensis | 1.09 | ||
Populus tremuloides | 1.33 | 1.14 | 1.20 |
Betula papyrifera | 1.50 | 1.09 | 1.09 |
Betula alleghaniensis | 1.05 | ||
Quercus macrocarpa | 1.51 | 1.15 | 1.18 |
Acer negundo | 1.06 | ||
Acer saccharum | 1.33 | 1.12 | 1.15 |
Quercus rubra | 1.47 | 1.19 | 1.20 |
Tilia americana | 1.10 | ||
Acer rubrum | 1.49 | 1.13 | 1.11 |
Lonicera tatarica | 1.11 | 1.10 | |
Rhamnus cathartica | 1.46 | 1.15 | 1.19 |
Frangula alnus | 1.14 | 1.11 | |
Lonicera morrowii | 1.09 | 1.11 | |
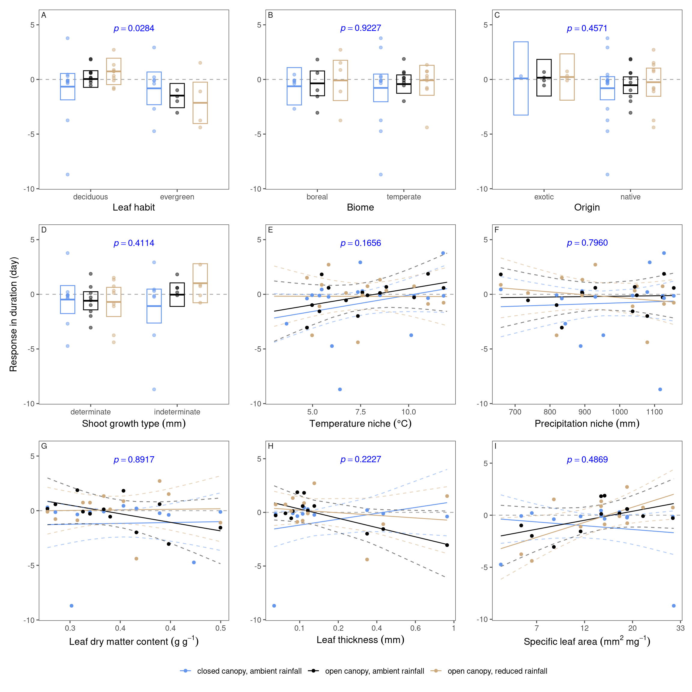
Implications
Growth rank


Duration vs speed

Trait
Correlation




(A) start | ||||
|---|---|---|---|---|
affiliation/niche/ | intercept | affiliation/niche/trait effect | context effect | interaction |
leaf habit | -6.26 ± 0.592 | -0.0783 ± 1.04 | -1.54 ± 0.725 | 1.54 ± 1.24 |
biome | -5.62 ± 0.792 | -1.12 ± 0.987 | -2.15 ± 0.955 | 1.79 ± 1.19 |
origin | -7.96 ± 1.19 | 1.81 ± 1.31 | 1.08 ± 1.60 | -2.24 ± 1.72 |
shoot growth type | -6.59 ± 0.606 | 0.561 ± 0.992 | -0.320 ± 0.736 | -1.71 ± 1.19 |
temperature niche | -6.35 ± 0.488 | 0.0861 ± 0.502 | -0.992 ± 0.588 | 0.587 ± 0.591 |
precipitation niche | -6.33 ± 0.491 | 0.241 ± 0.495 | -0.985 ± 0.591 | 0.425 ± 0.603 |
leaf dry matter content | -6.21 ± 0.555 | 0.130 ± 0.565 | -1.40 ± 0.679 | -0.424 ± 0.679 |
leaf thickness | -6.16 ± 0.569 | -0.0579 ± 0.577 | -1.46 ± 0.701 | 0.571 ± 0.706 |
specific leaf area | -6.07 ± 0.455 | 0.467 ± 0.469 | -1.49 ± 0.553 | -1.07 ± 0.553 |
(B) total growth | ||||
|---|---|---|---|---|
affiliation/niche/ | intercept | affiliation/niche/trait effect | context effect | interaction |
leaf habit | 0.365 ± 0.0585 | -0.566 ± 0.103 | -0.0726 ± 0.0716 | -0.0289 ± 0.122 |
biome | -0.0337 ± 0.0974 | 0.333 ± 0.121 | -0.0724 ± 0.117 | 0.0421 ± 0.146 |
origin | 0.481 ± 0.144 | -0.390 ± 0.158 | -0.00559 ± 0.193 | -0.103 ± 0.208 |
shoot growth type | 0.114 ± 0.0776 | 0.170 ± 0.127 | 0.000977 ± 0.0942 | -0.109 ± 0.152 |
temperature niche | 0.181 ± 0.0566 | 0.178 ± 0.0582 | -0.0477 ± 0.0682 | -0.0169 ± 0.0685 |
precipitation niche | 0.181 ± 0.0631 | 0.0328 ± 0.0636 | -0.0440 ± 0.0760 | 0.0111 ± 0.0775 |
leaf dry matter content | 0.169 ± 0.0618 | -0.218 ± 0.0630 | -0.0804 ± 0.0758 | 0.0327 ± 0.0757 |
leaf thickness | 0.173 ± 0.0591 | -0.260 ± 0.0600 | -0.0784 ± 0.0730 | 0.0167 ± 0.0735 |
specific leaf area | 0.127 ± 0.0498 | 0.247 ± 0.0514 | -0.125 ± 0.0606 | 0.0357 ± 0.0606 |
(C) duration | ||||
|---|---|---|---|---|
affiliation/niche/ | intercept | affiliation/niche/trait effect | context effect | interaction |
leaf habit | 0.0385 ± 0.378 | -1.52 ± 0.667 | 0.698 ± 0.463 | -1.36 ± 0.792 |
biome | -0.357 ± 0.562 | -0.0684 ± 0.700 | 0.268 ± 0.678 | 0.0800 ± 0.844 |
origin | 0.157 ± 0.830 | -0.685 ± 0.912 | 0.0645 ± 1.11 | 0.211 ± 1.20 |
shoot growth type | -0.590 ± 0.412 | 0.559 ± 0.674 | -0.109 ± 0.500 | 1.15 ± 0.808 |
temperature niche | -0.400 ± 0.323 | 0.448 ± 0.332 | 0.315 ± 0.390 | -0.333 ± 0.391 |
precipitation niche | -0.413 ± 0.334 | -0.0644 ± 0.337 | 0.320 ± 0.403 | -0.261 ± 0.410 |
leaf dry matter content | -0.431 ± 0.350 | -0.206 ± 0.356 | 0.602 ± 0.428 | -0.0359 ± 0.428 |
leaf thickness | -0.326 ± 0.332 | -0.242 ± 0.337 | 0.447 ± 0.410 | -0.510 ± 0.412 |
specific leaf area | -0.560 ± 0.325 | 0.630 ± 0.335 | 0.396 ± 0.395 | 0.906 ± 0.395 |
(D) speed | ||||
|---|---|---|---|---|
affiliation/niche/ | intercept | affiliation/niche/trait effect | context effect | interaction |
leaf habit | 0.0250 ± 0.00485 | -0.0308 ± 0.00857 | -0.0217 ± 0.00594 | 0.0232 ± 0.0102 |
biome | -0.000141 ± 0.00767 | 0.0217 ± 0.00956 | -0.00594 ± 0.00925 | -0.00861 ± 0.0115 |
origin | 0.0338 ± 0.0117 | -0.0241 ± 0.0129 | -0.0234 ± 0.0157 | 0.0109 ± 0.0169 |
shoot growth type | 0.0114 ± 0.00613 | 0.00604 ± 0.0100 | -0.00823 ± 0.00744 | -0.00816 ± 0.0120 |
temperature niche | 0.0139 ± 0.00437 | 0.0119 ± 0.00449 | -0.0117 ± 0.00526 | -0.00708 ± 0.00528 |
precipitation niche | 0.0138 ± 0.00486 | 0.00434 ± 0.00490 | -0.0113 ± 0.00586 | -0.000139 ± 0.00597 |
leaf dry matter content | 0.0167 ± 0.00463 | -0.0168 ± 0.00471 | -0.0181 ± 0.00567 | 0.0129 ± 0.00567 |
leaf thickness | 0.0171 ± 0.00494 | -0.0161 ± 0.00501 | -0.0185 ± 0.00609 | 0.0127 ± 0.00613 |
specific leaf area | 0.0149 ± 0.00474 | 0.0149 ± 0.00490 | -0.0178 ± 0.00577 | -0.00979 ± 0.00577 |
NLS




Coefficients
